由于同一检测器对不同物质的响应值不同,所以当相同质量的不同物质通过检测器时,产生的峰面积(或峰高)不一定相等。为使峰面积能够准确地反映待测组分的含量,就必须先用已知量的待测组分测定在所用色谱条件下的峰面积,以计算定量校正因子。
相对校正因子就是当组分i的质量与标准物质s相等时,标准物质的峰面积是组分i峰面积的倍数。若某组分质量为mi ,峰面积Ai ,则fi与Ai之积代表了质量为mi的标准物质的对应峰面积。
也就是说,通过相对校正因子,可以把各个组分的峰面积分别换算成与其质量相等的标准物质的峰面积,于是比较标准就统一了。这就是归一法求算各组分百分含量的基础。

扩展资料
将所得的色谱信号予以校正,才能与组分的量一致,即需要用下式校正组分的重量:
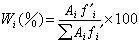
W=f′A式中f′为该组分的定量校正因子。依上式从色谱峰面积(或峰高)可得到相应组分的重量,进一步用下述方法之一计算出组分i在样品中的含量Wi:
1、归一化法将组分的色谱峰面积乘以各自的定量校正因子,然后按下式计算

此法的优点是方法简便,进样量与载气流速的影响不大;缺点是样品中的组分必须在色谱图中都能给出各自的峰面积,还必须知道各组分的校正因子。
2、内标法,向样品中加入被称为内标物的某物质后,进行色谱分析,然后用它对组分进行定量分析。例如称取样品Wm克,将内标物Wφ克加入其中,进行色谱分析后,得到欲测定的组分与内标物的色谱峰面积分别为Ai和Aφ,则可导出:

此方法没有归一化法的缺点,不足之处是要求准确称取样品和内标物的重量,选择合适的内标物。
3、外标法在进样量、色谱仪器和操作等分析条件严格固定不变的情况下,先用组分含量不同的纯样等量进样,进行色谱分析,求得含量与色谱峰面积的关系用下式进行计算,此法适用于工厂控制分析,特别是气体分析;缺点是难以做到进样量固定和操作条件稳定。
参考资料来源:百度百科-气相色谱法
参考资料来源:百度百科-校正因子
