根号4等于2。
根号非负性
在实数范围内,
1、偶次根号下不能为负数,其运算结果也不为负。
2、奇次根号下可以为负数。
不限于实数,即考虑虚数时,偶次根号下可以为负数,利用【i=√-1】即可。
扩展资料:
计算公式

成立条件:a≥0,n≥2且n∈N。

成立条件:a≥0, n≥2且n∈N。

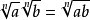
成立条件:a≥0,b>0,n≥2且n∈N。

成立条件:a≥0,b>0,n≥2且n∈N。
参考资料来源:百度百科-根号
根号4等于2。
根号非负性
在实数范围内,
1、偶次根号下不能为负数,其运算结果也不为负。
2、奇次根号下可以为负数。
不限于实数,即考虑虚数时,偶次根号下可以为负数,利用【i=√-1】即可。
扩展资料:
计算公式

成立条件:a≥0,n≥2且n∈N。

成立条件:a≥0, n≥2且n∈N。

成立条件:a≥0,b>0,n≥2且n∈N。

成立条件:a≥0,b>0,n≥2且n∈N。
参考资料来源:百度百科-根号