歌曲:远走高飞
歌曲原唱:金志文
填词:王耀光
谱曲:金志文
我一路看过千山和万水,我的脚踏遍天南和地北
日晒或是风吹,我都无所谓
路边那朵蔷薇,鲜红的纯粹
关掉了手机管他谁是谁,不要去理会是是与非非
天亮走到天黑,从不觉疲惫
黄昏中的堡垒,多颓废
如果迎着风就飞,俯瞰这世界有多美
让烦恼都灰飞,别去理会自我藉慰
如果还有梦就追,至少不会遗憾后悔
迎着光勇敢追,远走高飞
说走就走一回,翻过了山坡又踏过了水
跟心走别管东南和西北,前行或是后退
靠直觉发挥,日落下的余晖
有一点凄美,拥挤的城市布满了虚伪
何必去辩解谁错或是对,就让一切回归
童真的滋味,那自由的感觉
不会累,如果迎着风就飞
俯瞰这世界有多美,让烦恼都灰飞
别去理会自我藉慰,如果还有梦就追
至少不会遗憾后悔,迎着光勇敢追
远走高飞,说走就走一回
如果迎着风就飞,俯瞰这世界有多美
让烦恼都灰飞,别去理会自我藉慰
如果还有梦就追,至少不会遗憾后悔
迎着光勇敢追,远走高飞
说走就走一回

扩展资料《远走高飞》是由王耀光作词,金志文作曲并演唱的一首歌曲,收录于金志文2017年04月27日发行的专辑《Hello1》中。
歌曲简介
曲风明快跳跃,犹如清风袭面,歌词的描述仿佛能看到旅途中的风景。这首歌无疑是EP中一首佳作,除了独唱版以外,还特别收录了与徐佳莹的合唱版。人生不该留有遗憾,趁我们还没老去,去做想做的事,完成未完的梦。
去想去的地方,感受不同的风景,这一路上所经历过的一切,足以让你用另一种态度感受生活,审视自己。
简谱

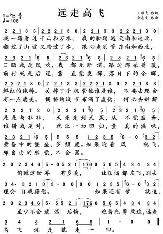
远走高飞-金志文词:王耀光曲:金志文我一路看过千山和万水我的脚踏遍天南和地北日晒或是风吹我都无所谓路边那朵蔷薇鲜红的纯粹关掉了手机管他谁是谁不要去理会是是与非非天亮走到天黑从不觉疲惫黄昏中的堡垒多颓废如果迎着风就飞俯瞰这世界有多美让烦恼都灰飞别去理会自我藉慰如果还有梦就追至少不会遗憾后悔迎着光勇敢追远走高飞说走就走一回翻过了山坡又踏过了水跟心走别管东南和西北前行或是后退靠直觉发挥日落下的余晖有一点凄美拥挤的城市布满了虚伪何必去辩解谁错或是对就让一切回归童真的滋味那自由的感觉不会累如果迎着风就飞俯瞰这世界有多美让烦恼都灰飞别去理会自我藉慰如果还有梦就追至少不会遗憾后悔迎着光勇敢追远走高飞说走就走一回如果迎着风就飞俯瞰这世界有多美让烦恼都灰飞别去理会自我藉慰如果还有梦就追至少不会遗憾后悔迎着光勇敢追远走高飞说走就走一回
远走高飞
歌曲原唱:金志文
填词:王耀光
谱曲:金志文
我一路看过千山和万水,我的脚踏遍天南和地北
日晒或是风吹,我都无所谓
路边那朵蔷薇,鲜红的纯粹
关掉了手机管他谁是谁,不要去理会是是与非非
天亮走到天黑,从不觉疲惫
黄昏中的堡垒,多颓废
如果迎着风就飞,俯瞰这世界有多美
让烦恼都灰飞,别去理会自我藉慰
如果还有梦就追,至少不会遗憾后悔
迎着光勇敢追,远走高飞
说走就走一回,翻过了山坡又踏过了水
跟心走别管东南和西北,前行或是后退靠直觉发挥
日落下的余晖有一点凄美,拥挤的城市布满了虚伪
何必去辩解谁错或是对,就让一切回归童真的滋味
那自由的感觉不会累,如果迎着风就飞
俯瞰这世界有多美,让烦恼都灰飞
别去理会自我藉慰,如果还有梦就追
至少不会遗憾后悔,迎着光勇敢追
远走高飞,说走就走一回
如果迎着风就飞,俯瞰这世界有多美
让烦恼都灰飞,别去理会自我藉慰
如果还有梦就追,至少不会遗憾后悔
迎着光勇敢追,远走高飞说走就走一回

扩展资料
《远走高飞》是由王尧光创作并由金志文创作的一首歌,并被收录于2017年4月27日发行的金志文专辑《Hello1》。
整个EP的整个歌词与音乐家王耀光合作,确保了风格与整体观念的统一。
2017年11月11日天籁之战第二季第4期杨坤翻唱了《远走高飞》这首歌。
